Vendor Fair
Required Permits & Insurance
Sellers Permit
Section
The ASUCI Vendor Fair follows strict policies that are expected to be upheld by participating vendors. Each vendor is required to have a valid sellers permit/business license listed under a legal business name before applying to become an on campus vendor.
Things to Remember:
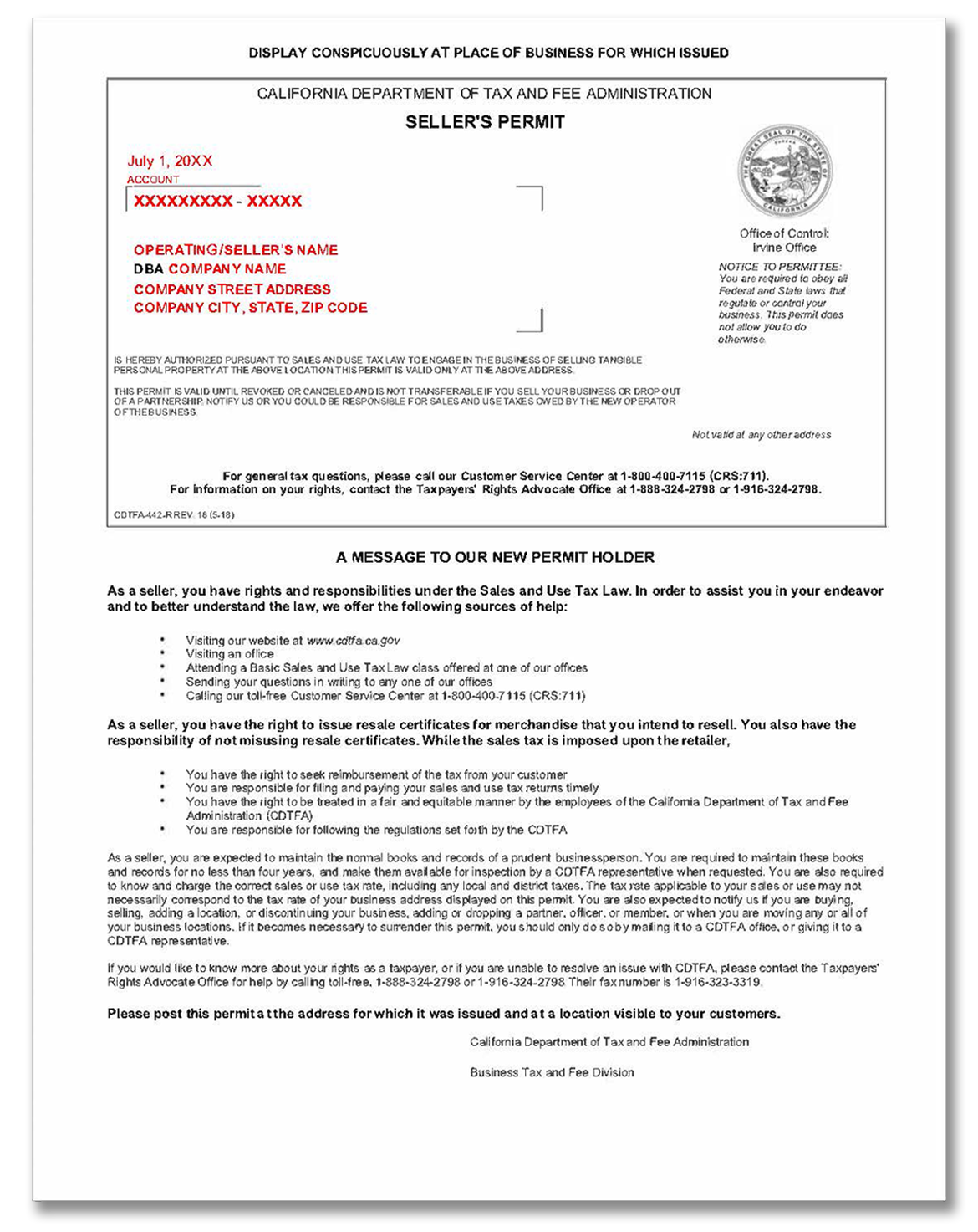
- Operating/seller’s name must be the legal business name and match all of your other documents.
- Consider including a DBA or “Doing Business As” on your Seller’s Permit, if your Seller’s Permit is in your personal name instead of your legal business name. If your Seller’s Permit is listed in your personal name, please remember that your personal name must be included on all of your other documents as well, so that all of your documents are listed under the same entity.
- Please ensure that your Seller’s Permit lists the updated current business address that can be verified by Risk Management.
- Seller’s Permits will be verified with the State of California before applications are approved. (See sample permit on left)
- If you have any questions, please do not hesitate to give our office a call or email.
Click the following link for information on obtaining a Seller’s Permit:
Vendor Insurance (Event Liability)
All vendors are required to hold General Event Liability Insurance or overall Liability Insurance. If you currently have such insurance, please review your policy to ensure that it matches the University requirements.
- “INSURED” name must be the legal business name and must match exactly the name that is listed on your current Seller’s Permit and other documents. If your Seller’s Permit is listed in your personal name, you must include a DBA or “Doing Business As” on your COI to ensure that our proof of general liability insurance can be easily matched to your Seller’s Permit.
- Address listed on your COI must be the same current business address matching the address on your Seller’s Permit.
- Vendors must meet University limits and stipulations on their policy. Limits are NON-NEGOTIABLE. Limits listed as EXCLUDED will result in a rejected COI.
- Expiration dates must extend past the last day of the event you are applying for. In the case your policy is set to expire before the event date, submit your current valid COI and plan to submit the updated policy as soon as it is available to remain eligible to participate.
- Depending on the activity of the vendor or selling item, the University may request additional coverage.
The University requires the below stipulations for ALL vendors at minimum.
Vendor Agreement
Section
A new Vendor Agreement is required to be completed for each ASUCI Vendor Fair. Vendor Agreements are considered a legally binding agreement and must include the date, legal business name (matching the entity listed on the Seller’s Permit and COIs), applicant signature, and printed name to be accepted.
Things to Remember:
-
Operating/seller’s name must be the legal business name (including DBA where needed) and must match your Seller’s Permit and COIs.
-
The date reflected on the Vendor Agreement must be within a reasonable distance of the event. New agreements must be submitted with each application. Agreements cannot be reused from previous Vendor Fairs.
-
Please sign and print your personal name ONLY on the lines set aside “For the Vendor” on the bottom left side of the agreement.
Additional Food Vendor Requirements
Section
Food vendors will be asked to provide additional items to be reviewed by UCI Dining, Fire (where cooking is present), and Environmental Health & Safety departments prior to approval. **NOTE** These documents DO NOT need to be submitted at the time of your application. But it is best to have them ready as they will be requested soon after. Early is always better as the approval process can take up to 10 weeks.
These items include the following:
Hand-washing Station
Food vendors will be held to more requirements, one of which is a hand-washing station. Hand-washing stations will not be available to rent. More information regarding food service requirements will be provided from UCI EH&S upon acceptance of your application.
Health Permit
Your current valid health permit is required to participate in this event. There are no exceptions.
UCI Provided 3rd Party Food Vendor Temporary Food Permit
REMEMBER to note if you will be bringing refrigeration, sampling, or cooking with electrical or open flame. PLEASE HAVE BACK UP PLANS! Electrical is extremely limited and no equipment is available to rent. Also, ensure you submit a readable (scanned .PDF) version of this permit that includes all 3 pages.
Booth Set-Up Plan/Footprint
Be prepared to submit your booth set up including equipment dimensions, electrical requirements, and location of heating elements where applicable. EH&S will work with you to ensure that you are in compliance with campus safety regulations.
Questions Regarding Permits & Insurance?
For further questions and information, please contact:
Chris Richmond
UCI Risk Services
richmon1@uci.edu



